什么是 Amine/NH2-PEG-DMG?概念、特点与注意事项【一步到位】
李先生 : (13619217766) (029-68881181)
(联系我时,请说明是在来宝网上看到的,谢谢!)

李先生 : (13619217766) (029-68881181)
(联系我时,请说明是在来宝网上看到的,谢谢!)关键信息标识什么是 Amine/NH2-PEG-DMG?概念、特点与注意事项【一步到位】
中文名称:DMG-PEG-NH2;Amine/NH2-PEG-DMG
别称:1,2-Dimyristoyl-rac-glycerol-polyethylene glycol-amine
英文名称:1,2-二肉豆蔻酸甘油酯-聚乙二醇-氨基;氨基-聚乙二醇-1,2-二肉豆蔻酰-rac-甘油二肉豆蔻酰甘油-PEG-amine
外观:白色至类白色固体粉末
溶解性:水、甲醇、氯仿、DMSO
应用:生物材料表面修饰 仅供科研,不能用于人体实验
分子量:1000/2000/3400/5000/10000
外观:白色固体粉末或液体
储存条件:-20 °C,避光保存
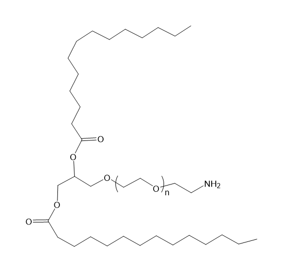
结构式:
运输: 低温运输

安全性:
操作时需佩戴防护装备,避免接触皮肤和眼睛。
如不慎接触,请立即用大量清水冲洗,并寻求医疗帮助。
·基本概述什么是 Amine/NH2-PEG-DMG?概念、特点与注意事项【一步到位】
DMG-PEG-NH? 是一种具备双功能特性的两亲性化合物,它由三部分巧妙组合而成:疏水性的 1,2-二肉豆蔻酸甘油酯(DMG)、亲水性的聚乙二醇(PEG)以及具有反应活性的氨基(-NH?)。
·核心特性
① 高反应通用性:氨基可与羧基(-COOH)、活化酯(如NHS酯)、醛基(-CHO)等反应,连接配体、药物或荧光分子。
② 可脱落PEG:C14链较短,进入细胞后PEG易脱落,促进内涵体逃逸,提升核酸药物递送效率。
③ 正电性贡献:在生理pH下部分氨基质子化,可为纳米颗粒提供正电荷,有助于与带负电的核酸结合。
·相关试剂
mPEG-Silane
CHOL-PEG-OH
Silane-PEG-SH
Silane-PEG-N3
Silane-PEG-MAL
Silane-PEG-AC
Silane-PEG-Silane
4ARM-PEG-Silane
8ARM-PEG-Silane
Silane-PEG-NH2
Silane-PEG-COOH
Silane-PEG-Pyrene
Boc-NH-PEG-NH2
以上内容均由西安凯新生物科技有限公司YNN编辑整理
该试剂仅用于科研实验,不可用于人体