AAT Bioquest-即用型预激活聚乙烯(PE):简化实验流程,提升研究效率
- 武汉艾美捷科技有限公司2024年12月25日 3:32 点击:400
AAT Bioquest-即用型预激活聚乙烯(PE):简化实验流程,提升研究效率
AAT Bioquest-R-藻红蛋白(PE)是从红藻中分离出来的。其主要吸收峰位于565nm,次要吸收峰位于496和545nm。AAT Bioquest提供这种预活化的PE,以促进PE与抗体和其他蛋白质(如链霉抗生物素蛋白和其他二次试剂)的结合。AAT Bioquest的预活化PE已准备好进行共轭,其产率远高于传统繁琐的基于SMCC的共轭化学。此外,AAT Bioquest的预活化PE通过蛋白质中丰富的氨基与蛋白质结合,而SMCC化学靶向必须通过抗体还原再生的巯基。
图:AAT Bioquest的预活化PE用Buccutite™FOL(提供)进行了预改性。您的抗体(或其他蛋白质)用AAT Bioquest的Buccutite™MTA(作为免费样品提供)修饰,得到MTA修饰的蛋白质(如抗体)。MTA修饰的蛋白质很容易与FOL修饰的PE(提供)反应,以比SMCC化学高得多的产率得到所需的PE抗体偶联物。此外,AAT Bioquest的预活化PE与MTA改性的生物聚合物的反应浓度远低于SMCC化学物质。
艾美捷AAT Bioquest-即用型预激活聚乙烯(PE):
单位大小:1 毫克
目录编号:2560
溶剂:水
校正因子(280 纳米):0.175
消光系数(厘米 -1 M -1):1960000
激发(纳米):565
发射(纳米):574
量子产率:0.82
H-短语:H303, H313, H333
危害符号:XN
预期用途:仅限研究使用(RUO)
R-短语:R20, R21, R22
储存:冷藏(2-8°C);尽量减少光照
UNSPSC 12171501
重要 PE已用AAT Bioquest的Buccutite™ FOL预改性。您的抗体(或其他蛋白质)用AAT Bioquest的Buccutite™ MTA改性,以得到MTA改性蛋白。MTA改性蛋白能与FOL改性的PE(提供)反应,得到所需的PE-抗体偶联物。
样品实验方案:
用Buccutite™ MTA准备预激活抗体
将Buccutite™ MTA在DMSO中重悬至约10毫克/毫升。
注意 未使用的MTA存放在-20°C;可以使用多达两次冻融循环。
在pH值为8.5-9.0的缓冲液中准备目标抗体(Ab),浓度高于1毫克/毫升。
将MTA加入到Ab溶液中,比例为每100微克Ab加入8-10微克MTA。
充分混合并在室温下反应60分钟,反应过程中旋转。
用脱盐柱纯化反应混合物以去除任何未反应的MTA。将缓冲液更换为PBS或您选择的其他缓冲液。
收集MTA激活的Ab。根据原始起始量的70%产率估算浓度。
与预激活PE偶联
将预激活PE在100微升ddH2O中重悬至10毫克/毫升。
注意 重悬后的预激活PE不稳定,不能存放超过一个月。
直接将预激活PE加入到MTA激活的目标Ab溶液中,比例为每100微克MTA激活的Ab加入300微克PE。
在室温下旋转混合物1-2小时。
现在Ab/PE偶联物已准备好使用。
注意 抗体偶联物应在载体蛋白(例如,0.1%牛血清白蛋白)和0.02-0.05%的叠氮钠存在下,存放在>0.5毫克/毫升。
注意 Ab/PE可在4°C下存放两个月。
可选:Ab/PE可通过尺寸排除色谱进一步纯化以获得更好的性能。
AAT Bioquest-即用型预激活聚乙烯(PE)文献参考:
Imaging Flow Cytometry for Phylogenetic and MorphologicallyBased Functional Group Clustering of a Natural Phytoplankton Community over 1 Year in an Urban Pond.
Authors: Dunker, Susanne
Journal: Cytometry. Part A : the journal of the International Society for Analytical Cytology (2020)
In Vivo Photodynamic Therapy With a Lipophilic Zinc(II) Phthalocyanine Inhibits Colorectal Cancer and Induces a Th1/CD8 Antitumor Immune Response.
Authors: Chiarante, Nicolás and Duhalde Vega, Maite and Valli, Federico and Zotta, Elsa and Daghero, Hellen and Basika, Tatiana and Bollati-Fogolin, Mariela and García Vior, María C and Marino, Julieta and Roguin, Leonor P
Journal: Lasers in surgery and medicine (2020)
Purification of Live Stem-Cell-Derived Islet Lineage Intermediates.
Authors: Rasouli, Niloofar and Melton, Douglas A and Alvarez-Dominguez, Juan R
Journal: Current protocols in stem cell biology (2020): e111
Application Settings versus Fixed Photomultiplier Tube Voltages for Optimal Cytometer Stability over Time, and Effect on Reusing a Compensation Matrix.
Authors: Andersen, Morten Nørgaard and Skovbo, Anni and Petersen, Charlotte Christie and Hokland, Marianne
Journal: Cytometry. Part A : the journal of the International Society for Analytical Cytology (2020)
Improved Flow Cytometric Light Scatter Detection of Submicron-Sized Particles by Reduction of Optical Background Signals.
Authors: Arkesteijn, Ger J A and Lozano-Andrés, Estefanía and Libregts, Sten F W M and Wauben, Marca H M
Journal: Cytometry. Part A : the journal of the International Society for Analytical Cytology (2020)
艾美捷科技是AAT Bioquest的中国代理商,为科研工作者提供优质的产品与服务。
https://www.amyjet.com/brand/aat-bioquest-china-distributor.shtml
AAT Bioquest-HRP标记的山羊抗小鼠IgG(重链+轻链):高效生物标记
酶标记可以通过酶组织化学方法通过产生颜色的反应(色原反应)或产生荧光的反应(荧光反应)来可视化。最常用的酶是辣根过氧化物酶(HRP)。HRP可以通过色原反应(如二氨基联苯胺,例如DAB)、荧光(例如ADHP)或化学发光(例如鲁米诺)来可视化。高度纯化和交叉吸收纯化的IgG在中性条件下与HRP高效率偶联,以最大限度地保留IgG和HRP的活性,使用AAT Bioquest专有的Buccutite™蛋白交联技术。

图:用泛角蛋白小鼠单克隆抗体标记石蜡包埋的人肺癌的免疫荧光图像,随后用HRP标记的山羊抗小鼠IgG(H+L)标记(Cat#16728)。该信号是用AAT的iFluor®488酪胺(目录号11060,绿色)产生的。细胞也用DAPI(蓝色)复染。
艾美捷AAT Bioquest-HRP标记的山羊抗小鼠IgG(重链+轻链):
单位大小:1 毫克
目录编号:16728
分子量:~150000
溶剂:水
H-短语:H303, H313, H333
危害符号:XN
预期用途:仅限研究使用(RUO)
R-短语:R20, R21, R22
储存:冷冻(< -15°C);尽量减少光照
UNSPSC:12171501
AAT Bioquest-HRP标记的山羊抗小鼠IgG(重链+轻链)文献参考:
Antiprothrombin antibodies in a patient with secondary antiphospholipid syndrome and bleeding
Authors: Gonzalez Leon R, Garcia Hern and ez FJ, Castillo Palma MJ, Sanchez Roman J.
Journal: Med Clin (Barc) (2011): 668
Assessment of EGFR/HER2 dimerization by FRET-FLIM utilizing Alexa-conjugated secondary antibodies in relation to targeted therapies in cancers
Authors: Waterhouse BR, Gijsen M, Barber PR, Tullis ID, Vojnovic B, Kong A.
Journal: Oncotarget (2011): 728
Falsely elevated tacrolimus levels caused by immunoassay interference secondary to beta-galactosidase antibodies in an infected liver transplant recipient
Authors: Knorr JP, Grewal KS, Balasubramanian M, Young N, Zaki R, Khanmoradi K, Araya V, Ortiz J.
Journal: Pharmacotherapy (2010): 954
Prevalence of anti-Epstein-Barr virus antibodies in children and adolescents with secondary immunodeficiency
Authors: Buckova A., undefined
Journal: Epidemiol Mikrobiol Imunol (2010): 133
Analysis of the effectiveness of reused primary and secondary antibodies in Western blotting analysis
Authors: Boonrod K, Roth B, Leong Ngar S, Krczal G.
Journal: Anal Biochem (2010): 124
艾美捷科技是AAT Bioquest的中国代理商,为科研工作者提供优质的产品与服务。
https://www.amyjet.com/brand/aat-bioquest-china-distributor.shtml
AAT Bioquest-iFluor 488刀豆蛋白A偶联物:高灵敏度细胞标记工具
刀豆蛋白A(ConA)是一种凝集素,能特异性结合各种糖、糖蛋白和糖脂中的某些结构。Con A是一种众所周知的T细胞有丝分裂原,可以激活免疫系统,招募淋巴细胞并引发细胞因子的产生。除了其促有丝分裂活性外,ConA还可以通过线粒体介导的凋亡和自噬诱导程序性细胞死亡。ConA也被报道可以激活NFAT(活化T细胞的核因子),NFAT是一个转录因子家族,在免疫系统的发育和功能中很重要,包括T细胞受体(TCR)的参与。ConA在生物学和生物化学中被广泛用于表征各种细胞表面的糖蛋白和其他含糖实体。它还用于在凝集素亲和层析中纯化糖基化大分子,以及研究各种免疫细胞的免疫调节。ConA在B-聚糖分支结构的末端位置特异性结合α-D-甘露糖基和α-D-葡萄糖基残基(两种己糖,仅在碳2上的醇不同)。它有4个结合位点,对应于4个亚基。刀豆蛋白A(Con A)是细胞生物学中应用最广泛的凝集素之一。iFluor®488标记的刀豆球蛋白A选择性结合A-吡喃甘露糖基和A-吡喃葡萄糖基残基,并可能显示出最亮的绿色荧光。
图:活HeLa细胞用iFluor®488刀豆蛋白A偶联物以5µg/mL的浓度染色30分钟。使用FITC滤光片组通过荧光显微镜获取图像。
艾美捷AAT Bioquest-iFluor 488刀豆蛋白A偶联物:
单位大小:1 毫克
目录编号:25580
分子量:不适用
溶剂:水
校正因子(260 纳米):0.21
校正因子(280 纳米):0.11
消光系数(厘米 -1 M -1):750001
激发(纳米):491
发射(纳米):516
量子产率:0.9
H-短语:H303, H313, H333
危害符号:XN
预期用途:仅限研究使用(RUO)
R-短语:R20, R21, R22
储存:冷冻(< -15°C);尽量减少光照
UNSPSC:12171501
除非另有说明,所有未使用的库存溶液应在制备后分成单次使用的小份,并储存在-20°C。避免反复冻融。
iFluor™ 488-刀豆蛋白A标记物库存溶液(200倍)
将500微升的ddH2O加入粉末中,制成2毫克/毫升的库存溶液。
注意 重悬后的共轭溶液可在2-8°C短期储存,或在-20°C长期储存。
工作溶液的准备
iFluor™ 488-刀豆蛋白A标记物工作溶液(1倍)
将5微升的200倍共轭溶液加入1毫升HHBS缓冲液中。
注意 不同细胞系的优化染色浓度可能不同。推荐的起始浓度为活细胞5-10微克/毫升。
样品实验方案
在打开前将小瓶预热至室温并短暂离心。染色方案因应用而异。应通过实验确定共轭物的适当稀释度。
活细胞染色
用HHBS缓冲液洗细胞两次。
加入100微升iFluor™ 488-刀豆蛋白A工作溶液。
在37°C下用工作溶液孵育细胞10-30分钟。
用HHBS缓冲液洗细胞两次。
使用FITC滤光片组在荧光显微镜下成像细胞。
固定细胞染色
刀豆蛋白A标记物也可用于染色固定细胞。
用4%甲醛在PBS中固定细胞。
注意 对于固定细胞膜染色,建议不进行通透化步骤。固定后的通透化步骤会导致细胞内结构如高尔基体和内质网(ER)结构染色。
加入100微升iFluor™ 488-刀豆蛋白A工作溶液。
在室温下用刀豆蛋白A共轭物工作溶液孵育细胞10-30分钟。
用HHBS缓冲液洗细胞两次。
使用FITC滤光片组在荧光显微镜下成像细胞。
AAT Bioquest-iFluor 488刀豆蛋白A偶联物文献参考:
Short-term high-fat diet intake leads to exacerbation of concanavalin A-induced liver injury through the induction of procoagulation state.
Authors: Nanizawa, Eri and Tamaki, Yuki and Sono, Reika and Miyashita, Rintaro and Hayashi, Yumi and Kanbe, Ayumu and Ito, Hiroyasu and Ishikawa, Tetsuya
Journal: Biochemistry and biophysics reports (2020): 100736
Montelukast ameliorates Concanavalin A-induced autoimmune hepatitis in mice via inhibiting TNF-α/JNK signaling pathway.
Authors: El-Kashef, Dalia H and Abdelrahman, Rehab S
Journal: Toxicology and applied pharmacology (2020): 114931
Acupuncture stimulation attenuates TNF-α production via vagal modulation in the concanavalin A model of hepatitis.
Authors: Lim, Hee-Don and Kim, Ki-Joong and Jo, Byung Gon and Park, Ji-Yeun and Namgung, Uk
Journal: Acupuncture in medicine : journal of the British Medical Acupuncture Society (2020): 964528420907338
Deficiency of O-linked-glycosylation regulates activation of T cells and aggravates Concanavalin A-induced liver injury.
Authors: Hao, Xiaohua and Gao, Meixin and He, Lingling and Ye, Xiaohui and Yang, Junru and Zhang, Fuyang and Liu, Ran and Wei, Hongshan
Journal: Toxicology (2020): 152411
Nicotine attenuates concanavalin A-induced liver injury in mice by regulating the α7-nicotinic acetylcholine receptor in Kupffer cells.
Authors: Zhao, Jing and Park, Surim and Kim, Jong-Won and Qi, Jing and Zhou, Zixiong and Lim, Chae Woong and Kim, Bumseok
Journal: International immunopharmacology (2020): 106071
艾美捷科技是AAT Bioquest的中国代理商,为科研工作者提供优质的产品与服务。
https://www.amyjet.com/brand/aat-bioquest-china-distributor.shtml
AAT Bioquest-iFluor Ultra 594琥珀酰亚胺酯:精准的生物分子标记解决方案
荧光染料偶联抗体为识别蛋白质提供了一种工具,广泛应用于荧光细胞成像、流式细胞术、西方印迹、免疫组织化学等领域。使用荧光标记抗体的优势包括更高的灵敏度、多重能力以及易用性。iFluor® Ultra系列是AAT Bioquest受欢迎的iFluor®染料的最新升级,针对用于荧光成像和流式细胞术应用的抗体标记进行了优化。与Alexa Fluor® 594等其他类似染料相比,使用iFluor® Ultra 594制备的抗体偶联物在性能上远远优于前者。在相同条件下,iFluor® Ultra 594偶联物的亮度明显高于Alexa Fluor® 594偶联物。此外,iFluor® Ultra 594的荧光不受pH(4-10)的影响。iFluor® Ultra 594 SE染料稳定性合理,对蛋白质氨基基团显示出良好的反应性和选择性。iFluor® Ultra 594的光谱特性和反应性与Alexa Fluor® 594相似(Alexa Fluor 是ThermoFisher的商标)。

图:HeLa细胞与小鼠抗微管蛋白一起孵育,然后与AAT的iFluorTM Ultra 594山羊抗小鼠IgG偶联物或Alexa Fluor®594山羊抗鼠IgG一起孵育。
艾美捷AAT Bioquest-iFluor Ultra 594琥珀酰亚胺酯:
单位大小:1 毫克
分子量:1436.72
溶剂:DMSO
吸收峰(纳米):585
校正因子(260 纳米):0.07
校正因子(280 纳米):0.05
消光系数(厘米 -1 M -1):1800001
激发(纳米):586
发射(纳米):600
量子产率:0.52
H-短语:H303, H313, H333
危害符号:XN
预期用途:仅限研究使用(RUO)
R-短语:R20, R21, R22
储存:冷冻(< -15°C);尽量减少光照
UNSPSC:12171501
库存溶液的准备:除非另有说明,所有未使用的库存溶液应在制备后分成单次使用的小份,并储存在-20°C。避免反复冻融。
储备溶液的制备:
1. 蛋白质库存溶液(溶液A)
将100微升的反应缓冲液(例如,1M 碳酸钠溶液或pH约9.0的1M磷酸缓冲液)与900微升的目标蛋白质溶液(例如抗体,蛋白质浓度尽可能>2 mg/mL)混合,得到1毫升蛋白质标记库存溶液。
注意 蛋白质溶液(溶液A)的pH值应为8.5 ± 0.5。如果蛋白质溶液的pH值低于8.0,使用1M 碳酸钠溶液或pH 9.0的1M磷酸缓冲液调整pH值至8.0-9.0的范围。
注意 蛋白质应溶解在1X磷酸盐缓冲盐水(PBS)中,pH 7.2-7.4。如果蛋白质溶解在Tris或甘氨酸缓冲液中,必须对其进行透析,以1X PBS,pH 7.2-7.4,去除广泛用于蛋白质沉淀的游离胺或铵盐(如硫酸铵和醋酸铵)。
注意 不纯的抗体或用牛血清白蛋白(BSA)或明胶稳定的抗体将不会被很好地标记。硫柳汞或汞硫柳汞的存在也可能干扰偶联反应。硫柳汞或汞硫柳汞可以通过透析或旋转柱去除,以获得最佳的标记结果。
注意 如果蛋白质浓度低于2 mg/mL,偶联效率将显著降低。为了获得最佳的标记效率,建议最终蛋白质浓度范围为2-10 mg/mL。
2. iFluor™ Ultra 594 SE库存溶液(溶液B)
将无水DMSO加入iFluor™ Ultra 594 SE的瓶中,制成10 mM库存溶液。通过移液或涡旋混合均匀。
注意 在开始偶联之前准备染料库存溶液(溶液B)。请立即使用。染料库存溶液的长期储存可能会降低染料活性。溶液B可以在避光和防潮的情况下冷冻保存两周。避免冻融循环。
AAT Bioquest-iFluor Ultra 594琥珀酰亚胺酯文献参考:
MicroRNA-126 inhibits pathological retinal neovascularization via suppressing vascular endothelial growth factor expression in a rat model of retinopathy of prematurity.
Authors: Fan, Yuan-Yao and Liu, Chi-Hsien and Wu, An-Lun and Chen, Hung-Chi and Hsueh, Yi-Jen and Chen, Kuan-Jen and Lai, Chi-Chun and Huang, Chung-Ying and Wu, Wei-Chi
Journal: European journal of pharmacology (2021): 174035
Retinal ganglion cells projecting to superior colliculus and pulvinar in marmoset.
Authors: Grünert, Ulrike and Lee, Sammy C S and Kwan, William C and Mundinano, Inaki-Carril and Bourne, James A and Martin, Paul R
Journal: Brain structure & function (2021)
A fully integrated isotachophoresis with a programmable microfluidic platform.
Authors: Shebindu, Adam and Somaweera, Himali and Estlack, Zachary and Kim, Jungtae and Kim, Jungkyu
Journal: Talanta (2021): 122039
Liquid Droplet Formation and Facile Cytosolic Translocation of IgG in the Presence of Attenuated Cationic Amphiphilic Lytic Peptides.
Authors: Iwata, Takahiro and Hirose, Hisaaki and Sakamoto, Kentarou and Hirai, Yusuke and Arafiles, Jan Vincent V and Akishiba, Misao and Imanishi, Miki and Futaki, Shiroh
Journal: Angewandte Chemie (International ed. in English) (2021)
Effect of VIRP1 Protein on Nuclear Import of Citrus Exocortis Viroid (CEVd).
Authors: Seo, Hyesu and Kim, Kyunghee and Park, Woong June
Journal: Biomolecules (2021)
艾美捷科技是AAT Bioquest的中国代理商,为科研工作者提供优质的产品与服务。
https://www.amyjet.com/brand/aat-bioquest-china-distributor.shtml
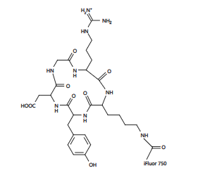
AAT Bioquest-iFluor750 RGD偶联物:靶向整合素的高灵敏度荧光探针
近红外荧光光学成像(也称为体内成像)作为一种强有力的技术,正在小鼠等小动物模型中用于分子水平上研究疾病。水和生物组织在近红外窗口(650-900纳米)的吸收和自发荧光最小,因此允许光子高效地穿透组织,并且组织内部散射低。在这个近红外窗口内,血红蛋白、氧合血红蛋白和脱氧血红蛋白等生理上丰富的分子对光的吸收也降至最低。正在开发和优化用于近红外光谱区域的生物相容性荧光剂的活体成像系统,以确保最大的光穿透和最高的灵敏度。细胞黏附分子整合素在许多肿瘤类型的血管生成和转移中起作用。与静止的血管和大多数正常组织中的最小表达相比,整合素在活化的内皮细胞和快速生长的实体瘤细胞中的表达显著上调。iFluor 750标记的单克隆精氨酸-甘氨酸-天冬氨酸(RGD)肽c(RGDyK)在细胞培养和活体中都能特异性靶向整合素。iFluor 750-c(RGDyK)的体内效果取决于多种因素,包括受体亲和力、特异性、分子大小、整体分子电荷、亲水性和代谢稳定性。

艾美捷AAT Bioquest-iFluor750 RGD偶联物:
单位大小 1 毫克
目录编号 36800
分子量 ~1600
溶剂 DMSO
校正因子(260 纳米) 0.044
校正因子(280 纳米) 0.039
校正因子(565 纳米) 0.025
校正因子(650 纳米) 0.1413
消光系数(厘米 -1 M -1) 2750001
激发(纳米) 757
发射(纳米) 779
量子产率 0.12
H-短语 H303, H313, H333
危害符号 XN
预期用途 仅限研究使用(RUO)
R-短语 R20, R21, R22
储存 冷冻(< -15°C);尽量减少光照
UNSPSC 12352200
AAT Bioquest-iFluor750 RGD偶联物文献参考:
Preliminary Therapy Evaluation of (225)Ac-DOTA-c(RGDyK) Demonstrates that Cerenkov Radiation Derived from (225)Ac Daughter Decay Can Be Detected by Optical Imaging for In Vivo Tumor Visualization
Authors: P, undefined and ya DN, Hantgan R, Budzevich MM, Kock ND, Morse DL, Batista I, Mintz A, Li KC, Wadas TJ.
Journal: Theranostics (2016): 698
c(RGDyK)-decorated Pluronic micelles for enhanced doxorubicin and paclitaxel delivery to brain glioma
Authors: Huang Y, Liu W, Gao F, Fang X, Chen Y.
Journal: Int J Nanomedicine (2016): 1629
99mTc-Glu-c(RGDyK)-Bombesin SPECT Can Reduce Unnecessary Biopsy of Masses That Are BI-RADS Category 4 on Ultrasonography
Authors: Ji T, Gao S, Liu Z, Xing H, Zhao G, Ma Q.
Journal: J Nucl Med (2016): 1196
In Vivo Biodistribution and Anti-Tumor Efficacy Evaluation of Doxorubicin and Paclitaxel-Loaded Pluronic Micelles Decorated with c(RGDyK) Peptide
Authors: Chen Y, Zhang W, Huang Y, Gao F, Fang X.
Journal: PLoS One (2016): e0149952
Enhanced antitumor efficacy by cyclic RGDyK-conjugated and paclitaxel-loaded pH-responsive polymeric micelles
Authors: Gao Y, Zhou Y, Zhao L, Zhang C, Li Y, Li J, Li X, Liu Y.
Journal: Acta Biomater (2015): 127
艾美捷科技是AAT Bioquest的中国代理商,为科研工作者提供优质的产品与服务。
https://www.amyjet.com/brand/aat-bioquest-china-distributor.shtml
AAT Bioquest-PE-iFluor 594 串联染料:精准的荧光信号增强剂
串联染料是一类独特的荧光分子,由两种不同的共价连接的荧光团组成,一个供体(例如PE或APC)和一个发射波长更长的荧光受体(例如Texas Red、Cy5、Cy7、iFluor 594或iFluor 750)。PE-iFluor 594是常用PE-Texas Red串联的优越替代品,具有显著提高的FRET效率和信号/背景比率。其主要吸收峰在565纳米,发射峰大约在610纳米。AAT Bioquest还提供了一种独特的预激活PE-iFluor 594,以促进PE-iFluor 594串联与抗体以及其他蛋白质(如链霉亲和素和其他二抗)的偶联。AAT Bioquest的预激活PE-iFluor 594串联已准备好进行偶联,比传统的繁琐的基于SMCC的偶联化学产率更高。此外,AAT Bioquest的预激活PE串联是通过蛋白质中丰富的氨基基团与蛋白质偶联,而SMCC化学则针对必须通过还原抗体来再生的巯基。
艾美捷AAT Bioquest-PE-iFluor 594 串联染料:
单位大小 1 毫克
目录编号 2600
分子量 ~240000
溶剂 水
吸收峰(纳米) 566
消光系数(厘米 -1 M -1) 1960000
激发(纳米) 565
发射(纳米) 606
H-短语 H303, H313, H333
危害符号 XN
预期用途 仅限研究使用(RUO)
R-短语 R20, R21, R22
储存 冷藏(2-8°C);尽量减少光照
UNSPSC 12171501

图:顶部 光谱图案是使用4激光光谱细胞仪生成的。空间偏移激光器(355 nm、405 nm、488 nm和640 nm)用于创建四种不同的发射轮廓,然后组合在一起,产生整体光谱特征。底部)用PE/iFlour®594抗人CD4*SK3*缀合物染色的全血流式细胞术分析。在PE/iFluor®594特异性B6-A通道中使用Aurora光谱流式细胞仪监测荧光信号。
AAT Bioquest-PE-iFluor 594 串联染料文献参考:
Orange juice and its major polyphenol hesperidin consumption do not induce immunomodulation in healthy well-nourished humans.
Authors: Perche, Olivier and Vergnaud-Gauduchon, Juliette and Morand, Christine and Dubray, Claude and Mazur, Andrzej and Vasson, Marie-Paule
Journal: Clinical nutrition (Edinburgh, Scotland) (2014): 130-5
Flow cytometry can diagnose classical hodgkin lymphoma in lymph nodes with high sensitivity and specificity.
Authors: Fromm, Jonathan R and Thomas, Anju and Wood, Brent L
Journal: American journal of clinical pathology (2009): 322-32
Optimization of three- and four-color multiparameter DNA analysis in lymphoma specimens.
Authors: Plander, M and Brockhoff, G and Barlage, S and Schwarz, S and Rothe, G and Knuechel, R
Journal: Cytometry. Part A : the journal of the International Society for Analytical Cytology (2003): 66-74
Multiparameter cytokine-specific affinity matrix assay for the determination of frequencies and phenotype of antigen-reactive T cells.
Authors: Mathioudakis, George and Coder, David and Fefer, Alexander
Journal: Journal of immunological methods (2002): 37-42
Conjugation of fluorochromes to monoclonal antibodies.
Authors: Holmes, K L and Lantz, L M and Russ, W
Journal: Current protocols in cytometry (2001): Unit 4.2
艾美捷科技是AAT Bioquest的中国代理商,为科研工作者提供优质的产品与服务。
https://www.amyjet.com/brand/aat-bioquest-china-distributor.shtml
AAT Bioquest-mFluor UV375 SE:专为多色流式细胞术应用而开发
AAT Bioquest的mFluor™染料专为多色流式细胞术应用而开发。这些染料具有较大的斯托克斯位移,并且可以很好地被流式细胞仪的激光线激发(例如355nm、405nm、488nm和633nm)。mFluor™UV375(MFUV375)染料的荧光激发和发射最大值分别为~355nm和~375nm。这些光谱特性使它们成为BD Biosciences BUV395的绝佳替代品。mFluor™UV375染料被355nm的紫外激光很好地激发,发射中心约为375nm,与BUV 395使用的379/28nm滤光片组完美匹配。与基于聚合物的BUV 395染料相比,MFUV375是一种很容易与抗体结合的小有机分子。它比BUV395明显更暗,可能用于更亮的标记(如CD4)。
艾美捷AAT Bioquest-mFluor UV375 SE :
单位大小 1 毫克
目录编号 1135
分子量 782.95
溶剂 DMSO
吸收峰(纳米) 342
校正因子(260 纳米) 0.099
校正因子(280 纳米) 0.138
消光系数(厘米 -1 M -1) 30000
激发(纳米) 351
发射(纳米) 387
量子产率 0.94
H-短语 H303, H313, H333
危害符号 XN
预期用途 仅限研究使用(RUO)
R-短语 R20, R21, R22
储存 冷冻(< -15°C);尽量减少光照
UNSPSC 12171501

图:顶部 光谱图案是使用4激光光谱细胞仪生成的。空间偏移激光器(355 nm、405 nm、488 nm和640 nm)用于生成四种不同的发射轮廓,然后组合在一起,产生整体光谱特征。底部)用mFluor™UV375抗人CD4缀合物染色的全血细胞的流式细胞术分析。使用极光光谱流式细胞仪在mFluor™UV375特异性UV2-A通道中监测荧光信号。
样品实验方案
该标记方案是为山羊抗小鼠IgG与mFluor™ UV375 SE的偶联而开发的。您可能需要根据您的特定蛋白质进行进一步优化。
注意 每种蛋白质需要不同的染料/蛋白质比例,这也取决于染料的性质。过度标记蛋白质可能会对其结合亲和力产生不利影响,而染料/蛋白质比例过低的蛋白质偶联物则会导致灵敏度降低。
进行偶联反应
以10:1的溶液B(染料)/溶液A(蛋白质)的摩尔比作为起始点:将5微升的染料库存溶液(溶液B,假设染料库存溶液为10 mM)加入到蛋白质溶液(95微升溶液A)的小瓶中,并有效摇动。假设蛋白质浓度为10 mg/mL,蛋白质分子量约为200KD,则蛋白质的浓度约为0.05 mM。
注意 我们建议使用10:1的溶液B(染料)/溶液A(蛋白质)的摩尔比。如果这个比例太低或太高,请分别确定5:1、15:1和20:1的最佳染料/蛋白质比例。
继续在室温下旋转或摇动反应混合物30-60分钟。
纯化偶联物
以下是一个使用Sephadex G-25柱纯化染料-蛋白质偶联物的例子。
根据制造商的说明准备Sephadex G-25柱。
将反应混合物(来自“进行偶联反应”)加载到Sephadex G-25柱的顶部。
当样品刚运行到顶部树脂表面下方时,立即加入PBS(pH 7.2-7.4)。
向所需的样品中加入更多的PBS(pH 7.2-7.4)以完成柱纯化。合并含有所需染料-蛋白质偶联物的分数。
注意 如果立即使用,染料-蛋白质偶联物需要用染色缓冲液稀释,并分装多次使用。
注意 对于长期储存,染料-蛋白质偶联物溶液需要浓缩或冷冻干燥。
AAT Bioquest-mFluor UV375 SE 文献参考:
Sequential ordering among multicolor fluorophores for protein labeling facility via aggregation-elimination based beta-lactam probes
Authors: Sadhu KK, Mizukami S, Watanabe S, Kikuchi K.
Journal: Mol Biosyst (2011): 1766
Visualizing dengue virus through Alexa Fluor labeling
Authors: Zhang S, Tan HC, Ooi EE.
Journal: J Vis Exp. (2011)
Fluorescent "Turn-on" system utilizing a quencher-conjugated peptide for specific protein labeling of living cells
Authors: Arai S, Yoon SI, Murata A, Takabayashi M, Wu X, Lu Y, Takeoka S, Ozaki M.
Journal: Biochem Biophys Res Commun (2011): 211
Neuroanatomical basis of clinical joint application of "Jinggu" (BL 64, a source-acupoint) and "Dazhong" (KI 4, a Luo-acupoint) in the rat: a double-labeling study of cholera toxin subunit B conjugated with Alexa Fluor 488 and 594
Authors: Cui JJ, Zhu XL, Ji CF, Jing XH, Bai WZ.
Journal: Zhen Ci Yan Jiu (2011): 262
Simultaneous detection of virulence factors from a colony in diarrheagenic Escherichia coli by a multiplex PCR assay with Alexa Fluor-labeled primers
Authors: Kuwayama M, Shigemoto N, Oohara S, Tanizawa Y, Yamada H, Takeda Y, Matsuo T, Fukuda S.
Journal: J Microbiol Methods (2011): 119
艾美捷科技是AAT Bioquest的中国代理商,为科研工作者提供优质的产品与服务。
https://www.amyjet.com/brand/aat-bioquest-china-distributor.shtml
AAT Bioquest-Buccutite HRP和Poly-HRP抗体标记试剂盒,非常适合各种免疫测定应用
Buccutite™过氧化物酶(HRP)抗体标记试剂盒使研究人员能够在不到2小时的时间内用检测酶辣根过氧化物酶(辣根过氧化物酶)有效地标记一抗。为了简化过程,这些试剂盒中提供的HRP用AAT Bioquest专有的接头Buccutite™FOL预激活,可以直接用于抗体偶联。只需使用每个试剂盒中提供的Buccutite™MTA接头激活您想要标记的抗体或蛋白质,并与Buccutite®FOL激活的HRP混合即可。由此产生的酶标记抗体偶联物非常适合各种免疫测定应用,包括ELISA、IHC和蛋白质印迹,并且长期储存高度稳定。Buccutite™过氧化物酶抗体标记试剂盒有三种尺寸,针对每个标记反应标记25µg、100µg和1mg抗体进行了优化。
对于需要额外灵敏度的应用,AAT Bioquest提供Buccutite™ Poly-HRP抗体标记试剂盒。这些试剂盒能够直接将抗体标记到HRP聚合物上,产生的偶联物具有最高的灵敏度和信噪比。Poly-HRP偶联物适用于目标物质含量低或样本体积有限的应用。
艾美捷AAT Bioquest-Buccutite™ HRP和Poly-HRP抗体标记试剂盒的关键特点:
可以有效地且高效地标记低至100微克/毫升的抗体浓度(SMCC至少需要1毫克/毫升)
标记的抗体在不到2小时内准备完成,仅需约15分钟的手动操作时间
简单的两步混合协议减少了批次间的变异
不需要柱纯化步骤
100%的偶联产率
偶联物可长期储存(4°C,12个月)
偶联物可用于ELISA、IHC、印迹、Power Styramide信号放大和TSA成像
提供实验设计的灵活性,HRP偶联物与比色、荧光和化学发光底物兼容
高性能替代Lightning-Link™ HRP标记试剂盒

使用Buccutite™过氧化物酶抗体标记试剂盒和Lightning-Link® HRP抗体标记试剂盒准备的HRP山羊抗小鼠IgG偶联物生成了直接ELISA曲线。小鼠单克隆抗体(0-10纳克/孔)在96孔板过夜涂层,然后用PBST和2%牛血清白蛋白封闭。孔被洗涤后,用100微升/孔GAM IgG-HRP偶联物(100纳克/毫升)孵育一小时。孔再次被洗涤后,使用TMB底物溶液(目录号11012)检测固定的小鼠IgG,孵育30分钟后在405纳米处读取结果。
Buccutite过氧化物酶抗体标记试剂盒,用于用HRP和聚HRP标记抗体:
Name Labeling Size/Reaction Size CatNo.
BuccutiteTM Peroxidase(HRP)Antibody Conjugation Kit Optimized forLabeling 25 μg Protein 2 Labelings 5505
BuccutiteTM Peroxidase(HRP)Antibody Conjugation Kit Optimized for Labeling 100 μg Protein 2 Labelings 5503
BuccutiteM Peroxidase(HRP)AntibodyConjugation Kit Optimized for Labeling 1 mg Protein 1 Labeling 5504
Buccutitem Peroxidase(HRP)Antibody Conjugation Kit Optimized for Labeling 1 mg Protein 5 Labeling 5504
BuccutiteTM Poly-HRP Antibody Conjugation Kit Optimized for Labeling 50 μg Protein 1 Labeling 5518
BuccutiteT Poly-HRP Antibody Conjugation Kit Optimized forLabeling 50 μg Protein 2 Labelings 5519
艾美捷科技是AAT Bioquest的中国代理商,为科研工作者提供优质的产品与服务。
https://www.amyjet.com/brand/aat-bioquest-china-distributor.shtml
联系邮箱:kefu@labbase.net
版权与免责声明
- 凡本网注明“来源:来宝网”的所有作品,版权均属于来宝网,转载请必须注明来宝网, https://www.labbase.net,违反者本网将追究相关法律责任。
- 本网转载并注明自其它来源的作品,目的在于传递更多信息,并不代表本网赞同其观点或证实其内容的真实性,不承担此类作品侵权行为的直接责任及连带责任。其他媒体、网站或个人从本网转载时,必须保留本网注明的作品来源,并自负版权等法律责任。
- 如涉及作品内容、版权等问题,请在作品发表之日起一周内与本网联系,否则视为放弃相关权利。



